Программа курса:
Внимание! Решать задачи может только авторизованный
пользователь. Пройдите регистрацию на сайте.
Задача 15: Задержка сигнала в сети
Напишите определение функции network_delay_time(times, n, k), которая принимает следующие аргументы:
times— массив времени передачи сигналов, где каждый элемент представляет ориентированное ребро(ui, vi, wi):ui— начальный узел,vi— конечный узел,wi— время передачи сигнала.
n— количество узлов в сети.k— узел, из которого отправляется сигнал.
Функция возвращает минимальное время, необходимое для того, чтобы все n узлов получили сигнал. Если невозможно обеспечить получение сигнала всеми n узлами, функция возвращает -1.
Примеры входных данных и ожидаемого вывода
Пример 1:

Ввод:
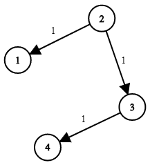
times = [[2, 1, 1], [2, 3, 1], [3, 4, 1]]
n = 4
k = 2
Вывод:
2
Пример 2:
Ввод:
times = [[1, 2, 1]]
n = 2
k = 1
Вывод:
1
Пример 3:
Ввод:
times = [[1, 2, 1]]
n = 2
k = 2
Вывод:
-1
Вы должны Войти или Зарегистрироваться чтобы оставлять комментарии